Pre-Summer Special Limited Time 70% Discount Offer - Ends in 0d 00h 00m 00s - Coupon code = getmirror
Pass the IFoA Certified Actuarial Analyst IFoA_CAA_M0 Questions and answers with ExamsMirror
Exam IFoA_CAA_M0 Premium Access
View all detail and faqs for the IFoA_CAA_M0 exam
756 Students Passed
86% Average Score
93% Same Questions
State what the limit of a function with input variable x represents.
Identify which of the following involves weak inequality.
A)

B)

C)

D)

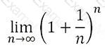
Calculate the value of

Calculate the mean, median and mode of the above dataset.


Calculate the sum of the following non-terminating progression:
2/10, 2/40, 2/160, 2/640,...
Determine and describe the extreme values of f(x,y) = -x2 - xy - 3y2
Identify which of the following statements are true.
I. Skewness measures how peaked a set of data is.
II. Skewness is a measure of asymmetry of the distribution of the data about its mean.
III. For a symmetrically distributed data, the mean equals the median but not necessarily the mode.
IV. The value of a measure of skewness can be positive, zero or negative.
Identify the condition that fully describes the existence of independence between two events A and B.
For the following data set, calculate the mean and median.
10, 8, 5, 7, 14, 5, 3, 9, 5, 8
TOP CODES
Top selling exam codes in the certification world, popular, in demand and updated to help you pass on the first try.